星空体育邮箱 | 星空体育家园 | 星空体育 [ 002773 ]

星空体育

ENG
产品展示
消化科
枸橼酸莫沙必利片(贝络纳)
  • 【 成份】
    +

    本品主要成份为枸橼酸莫沙必利。

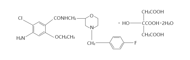
    化学名称:4-氨基-5-氯-2-乙氧基-N-[[4-(4-氟苄基)-2-吗啉基]甲基]苯甲酰胺枸橼酸二水合物。 

    化学结构式:

    分子式:C21H25C1FN3O3.C6H8O7.2H2O

    分子量:650.05

  • 【适应症】
    +

    本品用于改善因胃肠动力减弱(如:功能性消化不良、慢性胃炎)引起的消化道症状,包括烧心、嗳气、恶心、呕吐、早饱、上腹胀、上腹痛等。


  • 【规格】
    +

    5mg(按C21H25C1FN3O3.C6H8O7计)


  • 【用法用量】
    +

    成人通常用量为1日3次,每次5mg(1片),饭前或饭后口服。


  • 【不良反应】
    +

    国外同品种临床试验998例中有40例(4.0%)出现不良反应。主要为腹泻(1.8%)和稀便(0.5%),口渴(0.5%)、不适(0.3%)等。服用本品的792例患者中有30例(3.8%)实验室检查值发生异常变化,主要是嗜酸性粒细胞增多(1.1%)、甘油三酯升高(1.0%)、AST(GOT)、ALT(GPT)、ALP以及γ-GTP的升高(各0.4%)等。(批准时) 国外同品种上市后使用情况调查:特别调查(长期使用调查)的3014例患者中有74例(2.5%)出现不良反应。主要为腹泻和稀便(0.8%),腹痛(0.4%),口渴(0.3%)等。(再审查结束时)(其他不良反应详见药品说明书)